51暗网
杨志峰院士团队周雅教授课题组在Science of The Total Environment期刊发表题为“Comparative life cycle assessment of PBAT from fossil-based and second-generation bio-based feedstocks”的研究论文。第一作者为22级硕士研究生罗宸垲,通讯作者为周雅教授,合作单位包括中国科学院长春应用化学研究所、四川大学、北京交通大学、北京工业大学。

文章导读
快速增长的塑料生产与消费正加剧气候变化、生物多样性丧失、塑料污染三大全球性危机。包装行业是塑料消费的主要领域,随着电子商务的快速发展,外卖、快递行业塑料包装消费量与产废量指数增长。生物降解塑料可生物降解成二氧化碳和水,被认为是传统塑料的绿色替代品。
聚对苯二甲酸-己二酸丁二酯(PBAT)以己二酸(AA)、1,4-丁二醇(BDO)和对苯二甲酸(PTA)为原料制备而成,是当前发展最快、技术相对成熟、产业化规模最大的生物降解塑料,广泛用于一次性塑料消费品,如购物袋、垃圾袋、农业地膜等。中国已成为全球PBAT主要生产国和出口国,欧洲是主要出口地。2022年,中国PBAT产能达到114.3万吨,占全球产量83%,另有在建产能1814.3万吨。
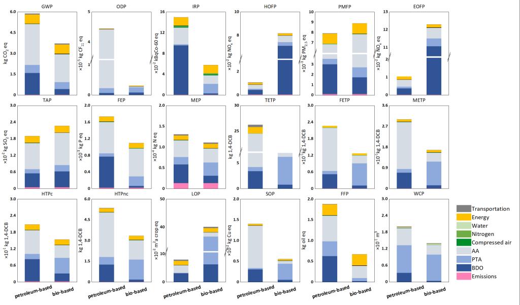
当前PBAT环境影响研究主要聚焦石油基PBAT,通过Aspen化工流程模拟,或PET/PE合成技术替代等方式评估PBAT气候变化影响、化石燃料耗竭、陆地酸化、富营养化和生态毒性等影响。缺乏PBAT生产单元过程数据,影响生命周期清单编制和评价结果的可靠性,进而影响生物降解塑料环境影响评估。目前市场消费的PBAT主要以石油基为原料,以非粮生物质如农作物秸秆和林业废弃物为原料的第二代生物制造技术已成为当前技术开发的重点。本研究基于中国PBAT及其原料的工业生产技术,开展中国PBAT“摇篮到大门”生命周期评价,探究PBAT环境影响以及第二代生物基原料替代、能源转型等环境缓解潜力,为生物降解塑料环境影响评价及一次性塑料绿色替代提供依据。
论文摘要
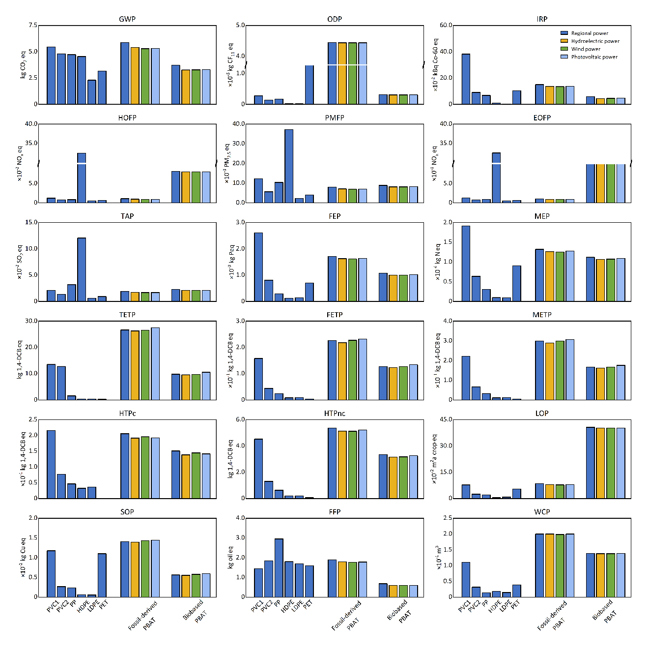
随着塑料需求持续攀升,塑料污染日益严峻。作为传统塑料绿色替代品,生物降解塑料环境影响备受关注。作为生物降解塑料的主导品种,聚对苯二甲酸-己二酸丁二酯(PBAT)已应用于包装和农业领域。PBAT及其第二代生物基原料的环境表现尚未受到关注。本研究编制中国PBAT“摇篮到大门”生命周期清单,开展生命周期评价,探究相较石油基PBAT及传统塑料,以第二代生物基原料的PBAT环境表现及潜力优势。结果显示,在18个环境影响指标中,石油基PBAT的原料贡献率超过70%。相比之下,采用第二代生物基原料生产PBAT在16个环境影响指标上实现15-85%的降低,若PBAT生产开展可再生能源替代能进一步减少10%环境影响。生物基PBAT在16个环境影响指标中表现优于传统塑料(PVC、PP、HDPE、LDPE 和 PET),其环境影响比传统塑料低15-80%。生物基 PBAT全球变暖潜能值GWP为3.72kg CO2eq,比传统塑料低18-32%。鉴于上游原料合成在PBAT生命周期环境影响中的主导地位,研发生物合成技术可以显著降低生物降解塑料环境影响,提高塑料行业可持续性。研究结果为生物基生物降解塑料的环境影响及其缓解策略提供科学依据,为PBAT行业可持续发展提供建议。



该研究得到国家重点研发计划(2022YFC3901800)和国家自然科学基金项目(52222007,52170179)的支持。